Explains how to find asymptotes, with illustrations and examples for all 4 types of asymptotes: vertical, horizontal, skewed and asymptotic curve.
What is an asymptote?
An asymptote is a function that another function approaches without limit as the distance from the coordinate origin increases. Put simply: An asymptote is a line that a curve approaches, as it heads towards infinity.
What types of asymptotes are there?
- Vertical asymptote (special case, because it is not a function!)
- Horizontal asymptote
- Skewed asymptote
- Asymptotic curve
| Type of asymptote | When it occurs |
| Vertical asymptote | A vertical asymptote exists at the point where the denominator is zero. |
| Skewed asymptote | When the numerator degree is exactly 1 greater than the denominator degree . |
| Horizontal asymptote | When the numerator degree is equal to or less than the denominator degree . |
| Asymptotic curve | If the numerator degree is more than 1 greater than the denominator degree (i.e. if numerator degree> denominator degree + 1) |
How to find asymptotes:Vertical asymptote
A vertical asymptote (i.e. an asymptote parallel to the y-axis) is present at the point where the denominator is zero.
Therefore the calculation is easy, just calculate the zero (s) of the denominator, at that point is the vertical asymptote.
example
The vertical asymptote of this function is to be determined:

The vertical asymptote is at the zero of the denominator, so:

So the vertical asymptote is at x = 2.
Here you can see the vertical asymptote (red) and the function (blue):

How to find asymptotes: Skewed asymptote
This exists when the numerator degree is exactly 1 greater than the denominator degree. To calculate the asymptote, do the following:
- Divides the numerator by the denominator and calculates this using the polynomial division .
- Then leave out the residual term, the result is the skewed asymptote.
example
Compute the skewed asymptote of this function:

Perform the polynomial division, dividing the numerator by the denominator:

The blue circled is then your crooked asymptote and the orange end is the residual term, which you can then omit (always the one where the x is in the denominator). So the equation of the skewed asymptote looks like this:

The function and the skewed asymptote then look like this:

How to find asymptotes: Horizontal asymptote
A horizontal asymptote is present in two cases:
- When the numerator degree is less than the denominator degree . In this case the x-axis is the horizontal asymptote
- When the numerator degree is equal to the denominator degree . Then the horizontal asymptote can be calculated by dividing the factors before the highest power in the numerator by the factor of the highest power in the denominator.
example
The horizontal asymptote of this function is sought. (Numerator degree = denominator degree)

The asymptote is then at the y-value, which results when the factors are divided before the common highest power.

This function and asymptote then look like this:

How to find asymptotes: Asymptotic curve
This exists when the numerator degree is more than 1 greater than the denominator degree (i.e. when the numerator degree> denominator degree + 1). An asymptotic curve is an asymptote that is not a straight line, but a curve, e.g. a parabola that the graph is getting closer and closer to.
To calculate the asymptote, you proceed in the same way as for the crooked asymptote:
- Divides the numerator by the denominator and calculates this using the polynomial division .
- Then leave out the remainder term (i.e. the one where the remainder stands by the denominator), the result is then the skewed asymptote.
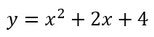
example
The asymptotic curve is sought for the following function (denominator degree by 2 smaller than the numerator degree, so there is an asymptotic curve):

Performs the polynomial division:

The red is then the equation of the asymptote , you can omit the part with the x in the denominator, this is the so-called residual term . So the equation of the asymptote is:

This function and asymptote looks like this:




